Express the following numbers as a product of its prime factors:

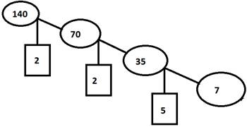
140



The number 140 can be expressed as follows:

140 = 2 × 2 × 5 × 7



1
1