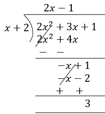
Apply Division Algorithm to find the quotient q(x) and remainder r(x) on dividing p(x) by g(x) as given below:
p(x) = 2x2 + 3x + 1, g(x) = x + 2
p(x) = 2x2 + 3x + 1, g(x) = x + 2
Dividend = 2x2 + 3x + 1,
Divisor = x + 2
Apply the division algorithm we get,

q(x) = 2x – 1
r(x) = 3